產品目錄
液體渦輪流量計
液體流量計
水流量計
油流量計
氣體渦輪流量計
橢圓齒輪流量計
電磁流量計
渦街流量計
蒸汽流量計
孔板流量計
旋進旋渦流量計
熱式氣體質量流量計
轉子流量計
浮子流量計
靶式流量計
氣體流量計
超聲波流量計
磁翻板液位計
浮子液位計
浮球液位計
玻璃管液位計
雷達液位計
超聲波液位計
投入式液位計
壓力變送器
差壓變送器
液位變送器
溫度變送器
熱電偶
熱電阻
雙金屬溫度計
推薦產品
聯系我們
- 金湖凱銘儀表有限公司
- 聯系電話:15195518515
- 在線客服:1464856260
- 電話:0517-86801009
- 傳真號碼:0517-86801007
- 郵箱:1464856260@qq.com
- 網址:http://www.527yx.cn
- 地址:江蘇省金湖縣理士大道61號
柴油流量計校驗
發布時間:2021-03-13 06:42:41??點擊次數:2494次
本規程適用于新制的、使用中和修理后的橢圓齒輪流量計(以下簡稱流量計)的檢定。
一、技術要求
1.允許基本誤差
流量計在規定流量范圍(附錄1)內的允許基本誤差,以流經流量計液體實際是的百分數表示,程度為0.2級、0.5級的流量計其允許基本誤差分則不超過±0.2%、±0.5%.
2.壓力損失
流量計的壓力損失,在*小流量時應不大于0. 2kgf/cm2;在*大流量時應小于1 kgf/cm2
3.重復性誤差
在相同的試驗條件下,流量計經多次測量(不少于三次),其示值的*大差值不應超過流量計允許基本誤差絕對值之半.
二、檢定條件
4.檢定時的溫度
4.1 標準溫度為20℃.
4.2 每次檢定時,液體溫度應盡量保持一致.
4.3 檢定流量計時,流量計和標準裝置中液體的溫度應修正到共同溫度條件下.
5.檢定時的試驗液體
用標準裝置檢定流量計時,所用試驗液體原則上應是流量計使用的工作液體或和流量計工作液體粘度相接近的液體。在必須采用粘度差異較大的液體時,應進行粘度修正.
6.檢定用的標準裝置和附屬設備
6.1 標準裝置
檢定流量計的標準裝置可在下列標準裝置中選用:
a.標準體積管;
b.容積式液體流量標準裝置;
c.質量式液體流量標準裝置;
6.2 附屬設備
a.數字計時計數器
b.*小分度值為0.1℃的溫度計;
c.0.4級標準壓力表;
d.二等標準密度計;
e.粘度計;
f.秒表.
三、檢定項目
7.流量計的檢定項目有
a.外觀檢查;
b.耐壓試驗;
c.基本誤差檢定;
d.重復性誤差檢定.
四、檢定方法
8.流量計的外觀檢查
8.1 流量計應有名*,名*上應有下列標志:
a.制造廠名或廠標;
b.流量計名稱和型號;
c.精度等級;
d.公稱通徑;
e.公稱壓力;
f.被測液體粘度(或液體名稱);
g.被測液體溫度;
h.出廠編號或制造年月。
8.2 流量計外殼應有指示被測液體流動方向的箭頭.
8.3 流量計的讀數裝置應符合下列要求:
8.3.1 顏色:
流量計讀數裝置的顏色應符合表1規定。

8.3.2 度盤:
a.流量計度盤上應標志出*小分度值的單位;
b.流量計度盤上的字體應清晰美觀;
c.流量計度盤上不應有擦傷、劃痕、裂紋及其它影響讀數和外觀的缺陷.
8.3.3 指針
a.流量計的指針應作順時針方向轉動;
b.流量計指針與分度線重疊部分,應在*短分度線長度的1/3-2/3范圍內,指針尖的寬度應不超過*短分度線寬度之半;
c.流量計指針與度盤的距離應為1.5-3mm。
8.3.4 玻璃:
流量計遮蓋讀數裝置的玻璃或其它透明材料應透明,且不應有防礙正確讀數的缺陷.
8.3.5 鼓輪計數器:
鼓輪計數器的轉動應靈活、平穩,數字間距離應均等,高低一致,字形不得傾斜。
8.4 流量計的外殼應有均勻、牢固的涂層,且本允許采用紅色涂料。
9.流量計的耐壓試驗
流量計外殼及密封等受壓部分應使用試驗液體進行試驗,在承受試驗壓力為公稱壓力1.5倍,歷時五分鐘的試驗過程中不應有滲漏現象.
10.流量計的基本誤差檢定
10.1 基本誤差檢定除必須滿足規定的檢定條件外,還應遵守下列要求:
a.流量計應無應力地安裝在管道上,注意使液體流動方向與流量計上箭頭指向相同;
b.安裝時應使橢圓齒輪軸成水平位置;
c.試驗管路系統中,應有過濾裝置;
d.檢定前應排除流量計及試驗管路系統內的氣體,一般應在流量計前安裝消氣器;
e.試驗系統及其接合部位不應有漏液現象;
f.試驗液體的流量應穩定.
10.2 基本誤差的檢定至少在三種不同流量(*大流量、30%*大流量和*小流量)下進行,每點重復測量不得少于三次,取誤差算術平均值為該點的誤差.
10.3 標準裝置的累積量誤差應小于流量計允許基本誤差的1/3。
10.4 用標準體積管檢定流量計

10.4.1 系統密封性試驗
關閉流量計的進口閥、出口閥和標定閥及一切可能產生泄漏的閥門,然后將流量計進口閥到標定閥之間的這段密封系統加壓,超過進口閥前壓力5kgf/cm2,觀察30分鐘,壓力下降少于2kgf/m2就認為密封性良好。
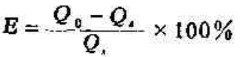
10.4.2 流量計的基本誤差按下示計算:

式中:Ep-流量計的基本誤差(%);
Q0-流量計的指示值(I);
Q-標準體積管的容積值(1);
F-實驗液體的壓縮系數;
Pp-標準體積管內的表壓力(kgf/cm²)
P。-流量計處液體的壓力(kgf/cm²);
Tp-液體通過標準體積管時的溫度(℃);
T。-液體通過流量計時的溫度(℃);
α-液體的膨脹系數(1/℃);
β-標準體積管的膨脹系數(1/℃);
k-標準體積管材質的壓力系數

10.5 用容積式液體流量標準裝置檢定流量計

10.5.1 液體流量標準裝置的容量按下述原則確定:
a.不應少于被檢流量計度盤的滿刻度值;
b.一般不應少于校驗流量一分鐘的輸出量。
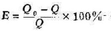
10.5.2 流量計的基本誤差按下式計算:
Ep=E+Eα+Eβ
式中:
---流量計的誤差(%);
---流量計的誤差(%);
Eα=α(TQ-T。)×100%---流量計的溫度附加誤差(%);
Eα=β(20-TQ)×100%---標準容器的溫度附加誤差(%);
TQ=液體通過標準容器時的溫度(℃)。
10.6 質量式液體流量標準裝置檢定流量計
10.6.1 標準秤的感量為1/5000.

10.6.2 流量計的基本誤差按下式計算

式中:Wt-試驗溫度下流經流量計的液體的質量(kg);
dt-試驗溫度下流經流量計的液體的平均密度(kg/1);
P-空氣密度0.00129g/cm³;
δ-標準秤砝碼的密度(g/cm³)。
11.流量計重復性誤差的檢定
在相同的試驗條件下,流量計經多次測量(不少于三次),其示值的*大差值不應超過流量計允許基本誤差值之半。
12.壓力損失試驗
流量計的壓力損失試驗應在試驗設備上觀察差壓計的壓差。
五、檢定結果的處理
13.檢定合格的流量計、發給合格**。制造單位不允許調節的部位出廠時,由制造廠加以封印。
14、檢定不合格的流量計,發給檢定結果通知書。
15.流量計的檢定周期根據使用情況確定,一般為半年。
附錄
附錄1


附錄2
流量計的溫度修正
當流量計被測介質的溫度偏離校驗溫度時,在被測介質的物理性能(如粘度)變化較小時,按下式進行溫度修正。
Et=Et1-κ(t-t1)
式中:Et-液體溫度為t℃時校驗的誤差(%);
Et1-液體溫度t1℃時校驗的誤差(%);
K-流量計計量室材質的溫度修正系數(%。℃-1)。
附錄3
流量計的粘度修正
1.以一種粘度液體試驗,用和流量計流量、粘度無關的常數進行誤差修正。

2.以兩種粘度液體校驗值進行誤差修正

上述二式中:
E0--與流量、粘度無關的流量計的固有誤差(%);
E1--用比實際使用液粘度大的試驗液校驗時的誤差(%);
E2--用比實際使用液粘度小的試驗液校驗時的誤差(%);
μ--實際使用液的粘度cP(mPa·s);
μ--比實際使用液粘度大的試驗液的平均粘度cP(mPa·s);
μ2--比實際使用液粘度小的試驗液的平均粘度cP(mP·s);
qm--流量計指針轉一圈的指示值(1);
qth--橢圓齒輪排一圈的理論排出量(1);
λ--流量計減速齒輪比;
βg-流量計調整齒輪比。
附錄4
用比較法檢定流量計
0.5級流量計用精度為0.1級的標準流量計進行檢定。
基本誤差按下式計算

式中:Q。--標準流量計的指示值(1)。
上一篇:燃油流量計工作原理及使用下一篇:橢圓齒輪流量計的特點
相關資訊
- 柴油流量計結構和原理
- 柴油流量計校驗
- 淺析柴油流量計在低流量條件下的粘度響應特性
- 柴油流量計廠家,3寸柴油流量表
- 防爆遠傳柴油計量表,柴油流量計量表價格
- 柴油流量計量表選型,柴油計量表廠家
- 智能柴油計量表,數顯柴油計量表
- 二寸柴油計量表,智能柴油計量表
- 不銹鋼柴油流量計,柴油流量計廠家
- 智能柴油流量計,柴油流量計量表
- 智能柴油流量計,柴油流量計廠家
- 智能柴油流量計,柴油管道流量計價格
- 船用柴油流量計,柴油流量計廠家
- 重柴油流量計,鑄鋁柴油流量計
- 粗柴油流量計,柴油流量計選型
- 不銹鋼柴油流量計,數顯柴油流量計
- 加油站柴油流量計,機械式柴油流量計
- dn40柴油流量計,油船柴油流量計量表
- dn80柴油流量計,柴油流量表廠家
- dn100柴油流量計,大流量柴油流量計量表
- dn150柴油流量計,高精度柴油流量計
- 航空柴油流量計,防爆柴油流量計廠家
- dn65柴油流量計,柴油流量計量儀
- 3寸柴油流量計量表,柴油油流量表
- dn50柴油流量計,數顯柴油流量計
- 兩寸柴油流量計,柴油流量計量表選型
- 管道柴油流量計,油船柴油流量計量表
- 不銹鋼柴油流量計,加油站柴油流量計
- 生物柴油流量計,測量柴油流量用什么流量計
- dn100柴油流量計,測量柴油流量計

