產品目錄
液體渦輪流量計
液體流量計
水流量計
油流量計
氣體渦輪流量計
橢圓齒輪流量計
電磁流量計
渦街流量計
蒸汽流量計
孔板流量計
旋進旋渦流量計
熱式氣體質量流量計
轉子流量計
浮子流量計
靶式流量計
氣體流量計
超聲波流量計
磁翻板液位計
浮子液位計
浮球液位計
玻璃管液位計
雷達液位計
超聲波液位計
投入式液位計
壓力變送器
差壓變送器
液位變送器
溫度變送器
熱電偶
熱電阻
雙金屬溫度計
推薦產品
聯系我們
- 金湖凱銘儀表有限公司
- 聯系電話:15195518515
- 在線客服:1464856260
- 電話:0517-86801009
- 傳真號碼:0517-86801007
- 郵箱:1464856260@qq.com
- 網址:http://www.527yx.cn
- 地址:江蘇省金湖縣理士大道61號
脈動流測量方法及對渦輪流量計測量誤差的影響
發布時間:2020-08-29 07:26:35??點擊次數:3871次
所謂脈動流是指流體在測量區域的流速是時間的函數,但在一個足夠長的時間段內有一個恒定的平均值,這個值取決于脈動流的流動規律。
真正的管道定常流只在層流中出現,通常其Re<2000,大多數工業管流均有較高的Re數,且出現湍流現象。這些流體通常在速度、壓力和溫度上出現連續的、無規則的、隨機的波動。導致波動產生的原因有多種,可因旋轉動力機械 ,如旋轉或往復式發動機、壓縮機和鼓風機造成,可由工作管道的振動,特別是共振造成,也可由流量控制器的周期性動作和調節器的往復開關及流體管道裝置、閥或旋轉機械分流造成,還可因流體系統的幾何特征而引起的流體力學振動和多段流而引起。
脈動流的存在會導致流量計出現計量誤差,甚至不能正常工作,其中尤以差壓式流量計、渦輪流量計和渦街流量計對其*為敏感。如何校正或減少脈動對流量測量特性的影響,是流量測量中比較重要的課題。
1、脈動流特性參數的主要測量方法
脈動無處無時不在,但測量卻非常困難,直接測量脈動流幾乎是不可能的,我們通常測量出脈動流的主要參數,如幅值、頻率和波形,然后通過這些參數分析脈動可能給流量計造成的影響。通常主要的測量方法有非接觸方法和接觸方法。
非接觸方法包括光學方法和聲學方法。光學方法主要采用LDA,此技術可測出管軸線處的點速度,并對脈動流振幅和波形作出估算,聲學方法主要采用Doppler Shift,該技術僅用于液體,其傳送器和接受器安裝在管道外壁,可據其測得的充分發展的瞬時速度剖面精確計算其脈動特性。接觸方法主要是熱線風速儀法,可用來測量脈動點速度,它具有足夠的測量頻寬,可采用在線計算機顯示流速的*大脈動量。
2、脈動流對渦輪流量計測量誤差的影響
2.1誤差方程及其計算
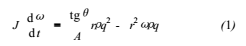
渦輪流量計以動量矩守恒原理為基礎,是一種速度式流量儀表。對非穩定流,由于轉子葉片和相關傳動裝置的共振、轉子的轉動慣量、脈動流的形狀、轉子和齒輪的摩擦阻力及轉子瞬時轉矩等諸多因素的影響,會使渦輪流量計產生很大的誤差。應用機翼理論來分析作用在轉子上的驅動力矩和阻力矩,可得到其運動方程:

式中:J為葉片轉動慣量;θ為葉片與軸線之間的夾角;r為渦輪葉片的平均半徑;A為管道流道面積;ρ為流體密度;ω為渦輪的旋轉角速度;q為通過管道的流量。
若把脈動流表示為q=asin2πfpt,經分析整理,可得出渦輪旋轉加速度與脈動流各參數的關系:

式中:c為穩態時的ω值。此時其測量誤差可用下式表示:

對特定的渦輪流量計和不同的脈動流,可編程計算出式(2)在脈動周期內各離散點所對應的ω(t),據此可計算出渦輪流量計測量誤差E。其流程圖如圖1所示。

2.2結果與分析
經過計算分析,發現導致渦輪流量計產生誤差的主要因素是脈動流的振幅和頻率,通過對多幅圖形的比較,發現有如下規律:
①從曲線分布的象限來看,脈動流導致渦輪流量計出現一個正誤差。當流體出現脈動時,在加速流體中,葉片的轉動慣量能引起轉子速度變慢,落后于定常流時的轉速;在減速流體中,葉片的轉動慣量能導致轉子速度加快,超過定常流時的轉速。由于加速時的影響比減速時的影響小得多,因此,脈動流出現時流量計顯示的平均流速遠大于平均流量,出現正誤差,此誤差有時*大可達50%。
②當脈動頻率fp小于渦輪轉子的角頻率ω時,測量結果接近真值,脈動流所引起的誤差很小。當脈動頻率fp大于渦輪轉子的角頻率ω時,響應失真,會引起較大誤差,且隨著頻率的增大,誤差隨著增大,*終趨于穩定(見圖2和圖3)。

③當脈動頻率大于渦輪轉子的角加速度時,脈動振幅的變化能引起渦輪流量計的測量誤差產生大的改變,此誤差隨著脈動振幅的增大而升高,*大可達50%,但*終趨于穩定。(見圖4和圖5,α為脈動振幅與穩態振幅之比)。

3、結論
從以上分析計算可知,脈動流使渦輪流量計產生一個正的系統誤差,該誤差受脈動頻率和振幅的影響。當脈動頻率小于角加速度時,其誤差可以認為為零;當脈動振幅小于某一振幅值時,其誤差亦可認為不影響渦輪流量計的精度。脈動流對渦輪流量計測量精度的影響存在*限值。
相關資訊
- 氣體渦輪流量計安裝直管段要求
- 氣體渦輪流量計的結構與工作原理
- 氣體渦輪流量計的產品特點和適用范圍
- 氣體渦輪流量計選型指南與外形尺寸
- 渦輪流量計的常見故障及排除
- 渦輪流量表怎么調節
- 渦輪流量計安裝直管段要求
- 渦輪流量計的適用場合與量程范圍
- 渦輪流量計由什么組成
- 渦輪流量計的工作原理
- 壓力對渦輪流量計精度的影響
- 液體渦輪流量計使用常見問題
- 液體渦輪流量計的使用場合
- 液體渦輪流量計怎么接電
- 渦輪流量計的使用范圍
- 渦輪流量計安裝條件與環境要求
- 渦輪流量計安裝在什么位置
- 液體渦輪流量計設置方法
- 氣體渦輪流量計使用環境
- 氣體渦輪流量計使用注意事項
- 氣體渦輪流量計怎么清洗
- 氣體渦輪流量計適用范圍
- 氣體渦輪流量計為什么要加油
- 氣體渦輪流量計波動大解決辦法
- 氣體渦輪流量計安裝距離要求
- 氣體渦輪流量計安裝注意事項
- 氣體渦輪流量計應用范圍
- 氣體渦輪流量計常見故障有哪些
- 提高氣體渦輪流量計精度的方法
- 氣體渦輪流量計精度等級

